开课公司:资环公司 制作人:王波
课程名称 |
环境工程微生物 |
授课对象所属专业 |
环境工程 |
课程类型 |
理论课 |
开课年级 |
大二 |
课程性质 |
专业必修课 |
课程总学时 |
48 |
一、课程简介(300字左右)
环境工程微生物课程是一门集微生物学、环境工程学及生物技术应用于一体的综合性课程。该课程旨在引导员工深入了解微生物在环境工程领域的应用及其原理,掌握微生物学的基本理论和实验技能,为解决环境问题提供科学依据。
在课程中,员工将学习微生物的形态结构、生理生化特性、分类鉴定方法等知识,了解微生物在污水处理、生物修复、生物能源开发等方面的应用实例。同时,课程还将注重培养员工的实践操作能力,通过实验、案例分析和讨论等形式,让员工亲身参与微生物工程实践,提高解决实际问题的能力。
通过这门课程的学习,员工将能够全面认识微生物在环境工程领域的重要性和潜力,培养对环保事业的责任感和使命感,为未来的环境保护和可持续发展做出贡献。
二、案例基本信息
1.案例名称:蓝细菌:水处理中的生态先锋
2.对应章节:第二章第三节
3.课程讲次:2课时
二、案例教学目标
1.知识目标:使员工掌握蓝细菌的细胞形态、分类、生理生化特性。
2.能力目标:培养员工运用蓝细菌相关特性解决实际环境问题的能力,提高员工的实践操作能力。
3.思政目标:强调蓝细菌在维持生态平衡、促进物质循环中的重要作用,引导员工树立人与自然和谐共生的生态文明观念以及强调科学技术在环境保护、污染物处理中的重要性,激发员工的科技创新意识。
四、案例主要内容
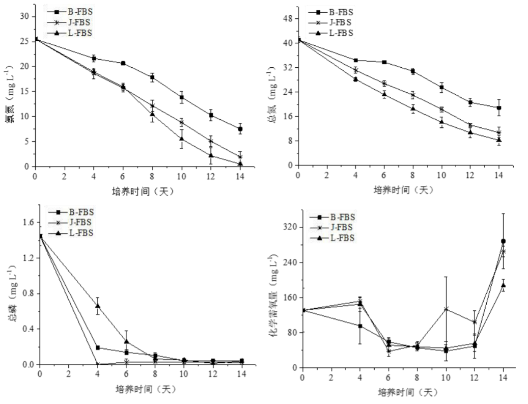
案例一:丝状蓝藻用于处理猪场沼液:微藻是一类光合效率很高的初级生产者,需要吸收氮磷等物质来维持其生长与增殖。当前,很多研究表明微藻能有效去除工业、农业和生活污水中的氮磷污染物。下图是选自华南农业大学一名硕士研究生的毕业论文,该研究选用3株丝状蓝藻用于净化10%猪场沼液中污染物,结果显示,B、J和L三株蓝藻处理14d对氨氮的去除率分别为82.33%、92.46%和97.97%;对总氮去除率分别为54.06%、73.79%和79.90%;对总磷去除率分别为97.03%、98.46%和97.14%。对于COD,处理12d时去除率分别为61.87%、20.94%和57.11%。这些结果证明蓝藻对于处理水体N、P等污染物具有较大的潜力。

丝状蓝藻对猪场沼液N、P和 COD的去除效果
案例二:微藻-细菌共生体系的应用:根据以往的研究,藻类-细菌相互作用可分为营养交换、信号转导和基因转移。营养交换是藻类-细菌之间最常见的相互作
用。藻类以溶解有机碳(DOC)的形式排泄出部分光合有机物,异养细菌吸收并分解大量藻类DOC。根据与DOC 的亲和力和生长动力学,可以选择藻际环境中的DOC 分解菌。此外,藻类的尸体也可以作为异养的营养物质。信号转导是藻类-细菌相互作用的另一种形式。在这种情况下,用于它们相互作用的化学物
质不是营养物质,而是激活或抑制基因表达和/或生理活动,从而改变它们的行为和生长。在藻类-细菌的相互作用中,细菌分泌化学信号,诱导藻类的形态发生变化。藻类能够分泌特定的化学物质来抑制细菌群体感应。藻际环境中复杂的信号作用,可以利用生物技术来控制藻类和/或细菌。基因转移是相邻的微生物之间基因的水平转移,是一个进化过程。一些水平转移的基因赋予藻类关键的功
能,使其能更好地在变化的环境中生存,例如,在鸟嘌呤-尿素循环(被认为是从细菌转移的)中编码酶的硅藻基因促进了它们对偶发性氮可用性的代谢反应。

藻类-细菌的三种相互作用
菌藻协同体系对无机氮的去除机理主要涉及同化作用[3]。氧化态氮的同化如NO3–或NO2–首先还原为NH4+态,然后进一步融入氨基酸,而还原态氮(NH4+)可以被微藻直接同化。具体来说,硝酸盐还原酶利用烟酰胺腺嘌呤二核苷酸(NADH)的还原形式传递两个电子,使硝酸盐转化为亚硝酸盐。然后亚硝酸盐被亚硝酸还原酶转化成铵,使用铁氧还蛋白(Fd)作为电子供体。因此,所有形式的无机氮最终都转化为铵,然后利用谷氨酸和ATP 将铵结合到氨基酸中。除同化作用外,氨挥发作用、硝化作用和反硝化作用也是无机氮去除过程中的关键机理。

菌藻协同体系去除N 的机理
五、案例教学设计
1.案例导入
通过展示夏季湖泊中水面漂浮绿油油的图片,提问同学们知道这是什么吗?蓝藻又名蓝细菌,引出蓝细菌的话题。之后介绍蓝细菌细胞形态、结构和功能,以及代谢的方式。再后回到刚开始的夏季湖泊中水面漂浮绿油油的图片,提出问题:是什么导致蓝细菌疯狂生长?引发员工【小组讨论】。答:水中氮磷含量过多,水体富营养化导致的。向同学穿插介绍水体富营养化能引起蓝细菌水华常见优势种。之后再提问:为什么氮磷过多就会引发蓝细菌疯狂生长?答:跟其自身的特殊细胞结构和功能有关。再次强调蓝细菌结构和功能关系。蓝细菌很有特殊的细胞功能,那么能否利用它的生理特性来解决一些水环境污染问题呢?请同学分组进行讨论。
根据员工的讨论的结果,进一步讲授蓝细菌的生理特性,加深员工对蓝细菌的认知。之后引出事先准备的两个案例。丝状蓝藻用于处理猪场沼液、微藻-细菌共生体系的应用和蓝藻净化废水。加深理解蓝细菌在维持生态平衡、水污染处理方面的重要潜在价值。最后提醒感兴趣的同学,可以课后查阅一下相关资料。
2. 教学方法:
(1)讲授法:通过PPT展示图片,系统介绍蓝细菌的基本理论知识。
(2)案例分析法:选取典型的蓝细菌应用案例,进行深入剖析,帮助员工理解其应用原理。
(3)互动讨论:鼓励员工提问、发表观点,通过小组讨论的形式,组织员工进行讨论,分享对蓝细菌理论知识的理解和看法,提出自己的见解和问题,加深对蓝细菌理论知识的理解。
3.教学评价
(1)课堂表现:观察员工在课堂上的参与度、讨论积极性等,评价员工对蓝细菌理论知识的理解和掌握情况。
(2)作业与测试:布置相关作业和测试,检验员工对蓝细菌理论知识的掌握程度和应用能力。
(3)员工反馈:收集员工对本次课程的反馈意见,了解员工对教学内容、教学方法等方面的看法和建议,为今后的教学改进提供参考。
六、教学反思
蓝细菌,是生活中常见的微生物,近些年来研究显示,蓝细菌在水处理中表现较大的潜力。通过文献中的案例介绍虽然可以拓展教学内容的深度,但还是缺乏实践感受,后期可尝试参观拥有相关技术的污水处理厂或开展相关实验,让员工进一步感受蓝细菌在环境保护、资源利用方面的潜力,激发员工科学创新意识。